機械密封的摩擦功率消耗
機械密封的摩擦功率消耗:
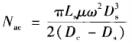
機械密封在工作時,主要摩擦熱的來源一方面是端面密封副在摩擦過程中產生的摩擦熱,另一方面是旋轉元件在被密封介質中摩擦產生的攪拌熱。可知,機械密封的總摩擦功耗N應包括端面密封副的摩擦功耗Nf和攪拌功耗Na。即:
![]()
端面密封副的摩擦功耗Nf可通過下式計算
![]()
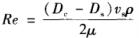
而攪拌功耗Na的計算與密封腔內被密封介質的流動狀態有關,可根據決定流體流動狀態的雷諾數的大小分層流和紊流進行討論。雷諾數的計算公式為
![]()
式中
密封腔內徑,m;
密封外徑,m;
密封外圓周速,m/s;
被密封介質的密度,kg/立方米;
液體動力黏度,Pa·s。
當雷諾數Re>2000時,流體處于紊流狀態。當被密封介質的黏度較大![]()
時,層流的攪拌功率消耗為
![]()
紊流的攪拌功率消耗為
![]()
式中L--密封旋轉件的長度,m。
如果將密封看做是密封腔內--旋轉圓筒時,可通過下式來確定密封副的攪拌功耗
![]()
式中Cm為不同流態的損失系數,各種流態下其表達式見表1-20。
表1-20不同流態的損失系數Cm的表達式

國標103機械密封
本文源自http://www.hongliyishu.com/news/540.html,轉載請注明出處。
(責任編輯:機械密封http://www.hongliyishu.com)
上一篇:機械密封的泄漏量 下一篇:機械密封摩擦熱與循環(沖洗)量
- 上一篇:機械密封的泄漏量
- 下一篇:機械密封摩擦熱與循環(沖洗)量
機械密封熱門文章
機械密封文章推薦
最新資訊
- 2023-07-04· 注冊就送38的平臺(官方)APP下
- 2023-06-30· 機械密封的保養與維修方法
- 2023-06-29· 機械密封的運行原理及其特點
- 2023-06-29· 機械密封的密封材料與密封性
- 2023-06-28· 機械密封的安裝及維護方法
- 2023-06-26· 機械密封的密封原理及其應用
聯系我們
浙江生產基地:浙江嘉善環城東路硅谷開發區(赤盾科技園)
嘉興銷售及技術支持中心:嘉興市環北西路經濟開發區
國內24小時銷售人員電話:18202142627
國內24小時技術支持:13917573091
電子郵件:1050760236@qq.com
jxchishidun@163.com
即時聊天工具:QQ: 1050760236
微信:15990310020
網址:www.hongliyishu.com



